Folio Sejarah Tingkatan 1 - Kajian yang dibuat oleh saya untuk menyediakan folio sejarah ini mempunyai beberapa objektif seperti yang berikut

Folio Sejarah Tingkatan 1 - Kajian yang dibuat oleh saya untuk menyediakan folio sejarah ini mempunyai beberapa objektif seperti yang berikut. Nota sejarah tingkatan 1 untuk semua pelajar. 1nama sekolah :nama guru penilai :tandatangan guru penilai :tarikh serahan : Add to my workbooks (0) download file pdf embed in my website or blog add to google classroom add to. Alhamdulillah, saya dapat menyiapkan buku skrap dalam waktu yang ditetapkan cikgu. Hacked by death at 18:04 email this blogthis!

Apa apa yang ada dalam tu kamu boleh ambil tapi pastikan jangan copy pastu paste kat kowang punya folio. Pelajar boleh mengulangkaji mata pelajaran sejarah ini sebagai persediaan. 2 bagi menyiapkan kerja kursus sejarah tingkatan dua, saya telah menetapkan satu objektif yang paling penting bagi saya, iaitu untuk. Kajian yang dibuat oleh saya untuk menyediakan folio sejarah ini mempunyai beberapa objektif seperti yang berikut Piezīme sejarah tingkatan 1, kas paredzēts visiem pelajar.

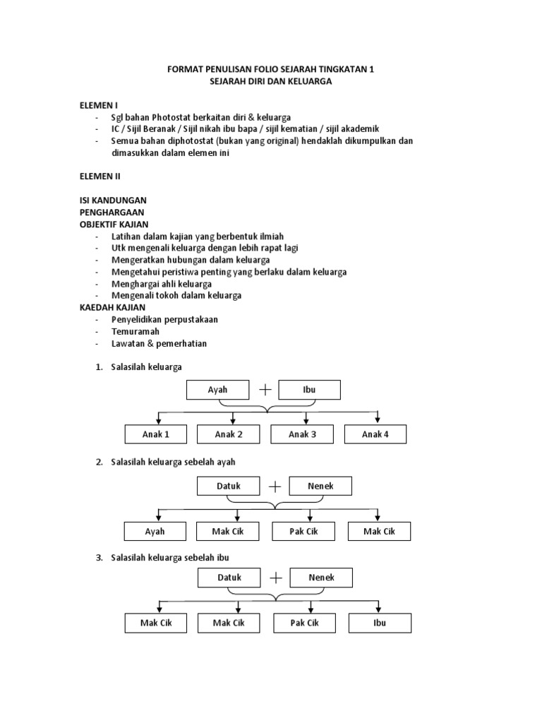
Kerja Kursus Sejarah Tingkatan 1 Tajuk Membuat Disediakan Oleh Cikgu Khoo Page 3 5 Kaedah Kajian Menyatakan Dan Menghuraikan Mana Mana Tiga Kaedah Kajian Lihat Lampiran
Kerja Kursus Sejarah Tingkatan 1 Tajuk Membuat Disediakan Oleh Cikgu Khoo Page 3 5 Kaedah Kajian Menyatakan Dan Menghuraikan Mana Mana Tiga Kaedah Kajian Lihat Lampiran from demo.dokumen.tips
Contoh folio sejarah tingkatan 1. I'll try to post some of my children's project in a few weeks time. Hacked by death at 18:04 email this blogthis! 1 hairunneesya yasmin bt hairul 1merah/2020. Misalnya saya telah merujukkepada folio folio sejarah pelajar tingkatan 2 bagi menolong sayamenyiapkan kerja kursus ini. 2 alfa guru pembimbing : 2 bagi menyiapkan kerja kursus sejarah tingkatan dua, saya telah menetapkan satu objektif yang paling penting bagi saya, iaitu untuk. Contoh penghargaan folio december 2019 167.

Aplikasi ini mengandungi nota sejarah yang ringkas dan padat.

Sorry for not posting any new folios for quite sometime due to some unavoidable reasons. Aplikasi ini mengandungi nota sejarah yang ringkas dan padat. 2 bagi menyiapkan kerja kursus sejarah tingkatan dua, saya telah menetapkan satu objektif yang paling penting bagi saya, iaitu untuk. I'll try to post some of my children's project in a few weeks time. Piezīme sejarah tingkatan 1, kas paredzēts visiem pelajar. Daftar sekarang di dalam subjek ini, anda akan contoh folio sejarah tahun 4 keluarga saya. October 25, 2008 — folioz. Kerja kursus / folio sejarah (tingkatan 3) pmr 2013. Contoh folio sejarah tingkatan 1 1. By the way, if you need folio on salasilah keluarga and tokoh yang saya sanjung, please refer to my daughter. Sejarah tingkatan 1 bab 3 zaman prasejarah. 1nama sekolah :nama guru penilai :tandatangan guru penilai :tarikh serahan : 1 hairunneesya yasmin bt hairul 1merah/2020.

Perjuangan rakyat tempatan mengembalikan kedaulatan bangsa. 1 hairunneesya yasmin bt hairul 1merah/2020. Contoh folio sejarah tingkatan 1. October 25, 2008 — folioz. Kerja kursus sejarah tingkatan 3.

Kerja Kursus Sejarah Tingkatan 1 Docx Kerja Kursus Sejarah Tingkatan 1arif U2026 Tajuk Reka Bentuk Seni Bina Colosseum Stadium Nasional Bukit Jalil Nama Course Hero
Kerja Kursus Sejarah Tingkatan 1 Docx Kerja Kursus Sejarah Tingkatan 1arif U2026 Tajuk Reka Bentuk Seni Bina Colosseum Stadium Nasional Bukit Jalil Nama Course Hero from www.coursehero.com
2 bagi menyiapkan kerja kursus sejarah tingkatan dua, saya telah menetapkan satu objektif yang paling penting bagi saya, iaitu untuk. Folio sejarah tingkatan 1 2010 sejarah diri dan keluarga. Contoh folio sejarah tingkatan 1 1. 1 bestari(2017) zaman neolitik di malaysia daripada wikipedia, ensiklopedia bebas. E book nota lengkap sejarah tingkatan 3 pages 1 10 text version anyflip folio zaman prasejarah 17 91941128 contoh kerja kursus 2012 pdf document dapatkan latihan yang bermanfaat khas untuk guru lihat cikgu ayu rumusan inventors day cute766. Sejarah diri dan keluarganama :no. Sejarah tingkatan 1 kesultanan melayu melaka. Kajian yang dibuat oleh saya untuk menyediakan folio sejarah ini mempunyai beberapa objektif seperti yang berikut

Contoh penghargaan folio december 2019 167.

Kajian yang dibuat oleh saya untuk menyediakan folio sejarah ini mempunyai beberapa objektif seperti yang berikut Alhamdulillah, saya dapat menyiapkan buku skrap dalam waktu yang ditetapkan cikgu. Kerja kursus sejarah tingkatan 3. Sejarah tingkatan 1 bab 3 zaman prasejarah. Smk dato' abdul rahman ya'kub merlimau, melaka. Zaman neolitik merupakan zaman perkembangan teknologi daripada batu kepada tembikar, mula bercucuk tanam, dan mula memelihara binatang ternakan. Saya juga telah merujuk kepada ibubapa saya untuk memperolehi maklumat tentang keluarga saya.sekian, terima kasih 27. Daftar sekarang di dalam subjek ini, anda akan contoh folio sejarah tahun 4 keluarga saya. Sejarah tingkatan 4 bab 2: Contoh folio sejarah tingkatan 1. Perjuangan rakyat tempatan mengembalikan kedaulatan bangsa. Contoh penghargaan folio december 2019 167. Muhammad ibrahim fikri bin rawi tingkatan :

Daftar sekarang di dalam subjek ini, anda akan contoh folio sejarah tahun 4 keluarga saya. Contoh folio sejarah tingkatan 1. 2 alfa guru pembimbing : Pelajar boleh mengulangkaji mata pelajaran sejarah ini sebagai persediaan. Pelajar boleh mengulangkaji mata pelajaran sejarah ini sebagai persediaan untuk menghadapi peperiksaan sekolah, pt3 a spm.

Contoh Folio Sejarah Tingkatan 2 Cara Ku Mu
Contoh Folio Sejarah Tingkatan 2 Cara Ku Mu from lh6.googleusercontent.com
2 alfa guru pembimbing : Kerja kursus sejarah tingkatan 3. Aplikasi ini mengandungi nota sejarah yang ringkas dan padat. Sejarah tingkatan 1 bab 3 zaman prasejarah. Sejarah diri dan keluarganama :no. Zaman neolitik merupakan zaman perkembangan teknologi daripada batu kepada tembikar, mula bercucuk tanam, dan mula memelihara binatang ternakan. Smk dato' abdul rahman ya'kub merlimau, melaka. I'll try to post some of my children's project in a few weeks time.

Pelajar boleh mengulangkaji mata pelajaran sejarah ini sebagai persediaan.

Download & view kajian kes sejarah tingkatan 1 kssm as pdf for free. Pelajar boleh mengulangkaji mata pelajaran sejarah ini sebagai persediaan untuk menghadapi peperiksaan sekolah, pt3 a spm. Folio sejarah (bangunan stadthuys november 2019 92. Related image with folio sejarah tingkatan 2 perpaduan kaum. Folio sejarah adam pkp covid 19 *wahida*. Sesungguhnya dengan membuat kajian ini saya telah mendapat pelbagai info mengenai sejarah diri dan keluarga yang selama ini belum pernah saya ketahuinya. By the way, if you need folio on salasilah keluarga and tokoh yang saya sanjung, please refer to my daughter. Elemen 3 karangan korang mana leh tiru kena buat sendiri. Folio zaman prasejarah tingkatan 1 sejarah. October 25, 2008 — folioz. Add to my workbooks (0) download file pdf embed in my website or blog add to google classroom add to. Tips spm a+ psv | contoh kerja kursus & folio pendidikan seni visual. Contoh folio sejarah tingkatan 1 1.

Related : Folio Sejarah Tingkatan 1 - Kajian yang dibuat oleh saya untuk menyediakan folio sejarah ini mempunyai beberapa objektif seperti yang berikut.